高压保护,热泵机组常见?;ぶ?。主要原因可分为三个大类
一 、电控方面的问题
1.1主板方面的问题

使万用表测量主板高压压控端口有无12V输出,如没有输出则需要更换主板。

1.2 高压压控的问题
压控正常情况下是联通的,当压力超过?;ぶ凳倍峡?。使用万用表蜂鸣档测试,压控是否是联通的,不通则需换压控。


高压压控,压力达4.2MPa时断开。使用万用表测量压机端子
1.3膨胀阀开度过小的问题
电磁膨胀阀的开度主要是环境、管温、吸气传感器检查到和信息来控制的。当因膨胀阀开度过小而引起和高压?;な保托枰诱夥矫胬醋攀旨觳榱?。


主要要检查传感器是否因脱落松动,造成的实际温度有偏差,如有需要重新固定
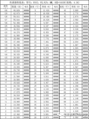
使用万用表来测量传感器的电阻来判断出本身是否有问题
使用万用表测量管温、吸气传感器对照电阻表,来确认传感器是否正常,如阻值有偏差,则更换温度传感器。
